От труб, инструментов и вагонеток до специальных автомашин и индивидуальных противохимических пакетов хочет избавиться Министерство по чрезвычайным ситуациям с помощью аукциона. В чём ещё больше не нуждаются спасатели в длинном списке разблокированных материальных ценностей мобилизационного резерва – в обзоре CMN.KZ
Для понимания: различные объекты необходимы при выполнении заказа во время мобилизации, военного положения и в военное время. В том числе – оказание гуманитарной помощи, принятие первоочередных мер по ликвидации последствий чрезвычайных ситуаций природного и техногенного характера в мирное время, а также не используемых организациями, имеющими мобилизационный заказ, вещей.
В 2700 позициях из списка на странице аукциона, кажется, есть всё. Некоторые вещи, впрочем, оказались колоссально изношены.

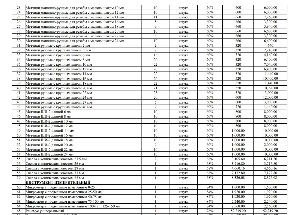
Наименьший процент "годности" – 60. И то всего по 150 строчкам из всего списка, следует из оценочных данных. Это, например, бачки для горючих жидкостей или железнодорожные башмаки и напильники.


Даже различные виды штангенциркуля распродаёт ведомство:

Аукцион на повышение (форма торгов, при которой стартовая цена повышается с заранее объявленным шагом, и победителем признают того, кто предложил наивысшую цену – Прим. ред.) должен пройти 19 декабря. В нём МЧС также хочет избавиться и от около 200 чайников, одной бензинокислородной резки под водой и чехлов для матрацев в количестве 1500 штук.

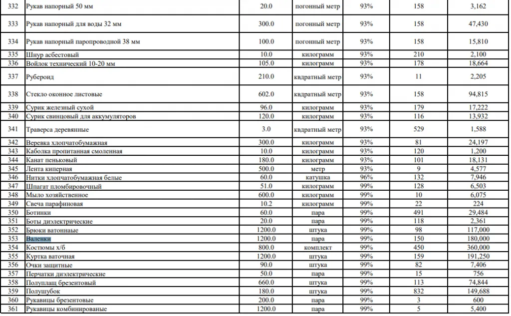
А ещё есть 1200 пар валенок, изношенных на 99%, которые продают за 180 тысяч тенге.

Столовые приборы, черпаки и термосы:

Советская кинопередвижка «Украина» за 1080 тенге и изношенностью на 96% также входит в комплект при покупке.

А ещё в списке есть, например, 10 тысяч тормозных чугунных вагонных колодок, оценённые специалистами в 7,5 млн тенге. И это при том, что их износ составляет 93%.

Петарды, алмазные инструменты и сигнальные щиты:


Оценивали всё это "добро" две компании: ТОО KazPrice и А8 Consulting Company.
Продавцом выступает комитет по государственным материальным резервам Министерства по чрезвычайным ситуациям. Пункт хранения всех этих объектов находится в Восточно-Казахстанской области. В частности, в филиале «Балхаш» комитета по государственным материальным резервам министерства оборонной и аэрокосмической промышленности Казахстана. Кстати, это ведомство вновь учредили в 2016 году, а затем преобразовали в начале 2019 года, разделив функции с МЧС и МЦРИАП.


Если объекты в списке заинтересуют кого-то и их удастся продать участнику аукциона, то по договору он обязуется самостоятельно всё это вывезти. Однако если покупатель этого не сделает, то помимо штрафных санкций, обязан будет возместить пункту хранения подведомственной организации все расходы.
При этом гарантийный взнос по аукциону составляет 110,7 млн тенге.
Читайте также:
Подписывайтесь на официальный Telegram-канал CMN.KZ