Старший сын Майры Курмангалиевой Данияр Кесикбаев известен не только судебными тяжбами с Болатом Назарбаевым, но и женитьбой на дочери экс-премьера Малайзии. В Казахстане у него есть несколько бизнес-проектов, которые приносят прибыль. Отдел расследований CMN.kz выяснил, что одна из компаний Кесикбаева занималась буровыми работами на никель-кобальтовом месторождении
В первой части редакция рассказала, как семья Жарилкагановых через сына и дочь породнилась одновременно и с Нурсултаном, и с Болатом Назарбаевыми. Так, Зарина Есполова вышла замуж за брата второй жены экс-президента Асель Исабаевой. А Руслан Махатов женился на Жанне Кесикбаевой, которая ранее была удочерена Болатом Назарбаевым.
Как оказалось, муж Жанны Махатовой на протяжении длительного времени помогал Майре Курмангалиевой с её проектами. В частности, в 2009 году на тот момент Руслан Жарилкаганов поставил подпись в документах вместо своей тёщи.
В третьей части отдел расследований CMN.kz раскрыл подробности бизнес-проектов сына Болата Назарбаева от Майры Курмангалиевой. На Ханболата Назарбаева оформлено сразу несколько компаний, одна из них помогает иностранным организациям получить доступ к фармацевтическому рынку Казахстана.

Данияр Кесикбаев совместно с Русланом Махатовым владеет бизнесом. ТОО «Сауда-24» через онлайн-магазин Sauda24.kz продаёт электронику, продукты питания, мебель, товары для животных и аксессуары.

Кроме этого предприятия, на Данияра Кесикбаева оформлено ещё две организации – ТОО "МУЗ-ТВ КАЗАХСТАН" и ТОО "ISL Metals Group".
Читайте также:
- Как Нурсултан и Болат Назарбаевы стали сватами, и зачем их родственники сменили фамилии?
- Как делили АЗТМ и зачем зять жены Назарбаева в документах вместо неё подписи ставил
- Лекарства и строительный бизнес: чем зарабатывает сын Болата Назарбаева
Музыкальный канал, которого нет
Старшему сыну Майры Курмангалиевой принадлежит несколько компаний в Казахстане. Среди них есть ТОО "МУЗ-ТВ КАЗАХСТАН", которое создали ещё в декабре 2006 года.

Чем интересна компания, которая по названию похожа на российский аналог музыкального канала МУЗ-ТВ? А тем, что данные об организации засекречены государственным органом.

На деле в списке учредителей ТОО "МУЗ-ТВ КАЗАХСТАН" действительно значится сын Майры Курмангалиевой, но под другой фамилией и отчеством – Данияр Болатулы Назарбаев. При этом каких-либо других данных получить от электронного правительства не получится.

Узнать подробности вышло через сайт Комитета государственных доходов. Компанию ликвидировали 23 апреля 2015 года. При этом каких-либо данных о пополнении госказны не имеется.

ТОО "МУЗ-ТВ КАЗАХСТАН" зарегистрировали в Алматы по адресу: улица Байтурсынова, 104А. В этом здании ранее находились компании Болата и Нурбола Назарбаевых (ТОО «BN InvestCapital» и ТОО «Корпорация Үш Қоңыр Инвест»). По отзыву в 2GIS, офис принадлежал младшему брату экс-президента Казахстана.



Неизвестно, чем именно занималось "МУЗ-ТВ КАЗАХСТАН", а также, как оно связано с российским телеканалом.
Завод для производства сульфата никеля
Ещё одним предприятием – ТОО ISL Metals Group – Данияр Кесикбаев владеет совместно с предполагаемым родственником Бисултаном Кесикбаевым и Динарой Абдикаримовой. При чём последняя стала учредителем недавно – в конце февраля 2024 года. Предприятие одновременно занимается строительно-монтажными работами и деятельностью в области инженерно-технического проектирования.

Что же такого строит компания бывшего пасынка Болата Нзарабаева?
Судя по тендерам на сайте закупок недропользователей, ISL Metals Group с 2021 года предоставляло комплекс геолого-буровых работ и занималось составлением рабочего проекта по «строительству опытно-промышленного комплекса» на месторождение Бугетколь в Актюбинской области. Общая стоимость трёх тендеров превысила 128,5 млн тенге. Отметим, что недропользователем оказалась аффилированная компания.
С 2021 года ISL Metals Group пополнила казну государства на 30,5 млн тенге. В этом году налоги предприятия составили всего 230 тысяч тенге.

По удивительному стечению обстоятельств права на добычу и обогащение никель-кобальтовых руд на месторождении Бугетколь получили Бисултан Кесикбаев и Динара Абдикаримова через ТОО «Горнорудная Компания Сары Арка». Соучредителями в компании значатся Рустем Жакупов и Олжас Дуйсебаев. Контракт на месторождение организация получила 23 февраля 2018 года. «Горнорудная Компания Сары Арка» и ISL Metals Group зарегистрировали в Алматы по адресу улица Наурызбай батыра, 65.

ISL Metals Group создали в ноябре 2019 года. Возможно, компанию Кесикбаевы создали как раз под строительство завода в Актюбинской области.
Ещё один Кесикбаев: что добывают на месторождении?
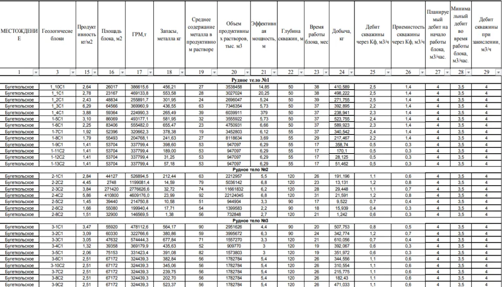
Месторождение «Бугетколь» находится в Айтекебийском районе Актюбинской области. В 270 км к северо-востоку расположен Актобе, а в 30 км к югу – Бурыктальское месторождение силикатных никелевых руд. Площадь горного отвода составляет 3,29 км. Геологоразведочные работы проводили в два этапа: поисково-разведочные и разведочные работы в 1961-1963 годах и геологическая разведка в 2007 году.
Выявленные запасы месторождения составляют 251,2 млн тонн никеля и 13,6 млн тонн кобальта. Экспортировать концентраты в значительном объёме можно в Китай, Южную Корею, Россию и Японию.
В 2017 году для ТОО «Горнорудная Компания Сары Арка» разработали проект «Промышленной разработки месторождения никель-кобальтовых руд Бугетколь». Согласно документу, график бурения, сооружения скважин и проведения горно-подготовительных работ должен составить 10 лет: с 2020 по 2030 годы.

Инвестиции и обязательства на 7,8 млрд тенге
Добыча и переработка руды на месторождении "Бугетколь" входила в список инвестиционных предложений Kazakh Invest в октябре 2019 года. Сумма инвестиций составляет 574 млн долларов, а срок окупаемости 4,2 года.

В декабре 2021 года владельцы ТОО заложили своё право недропользования в АО "Bank RBK". Срок договора – до 24 января 2026 года. Сумма обязательств составляет 7,8 млрд тенге. В конце декабря 2022 года «Горнорудная Компания Сары Арка» получила участок 4,65 га. Срок пользования составил три года.

Руководство ТОО «Горнорудная Компания Сары Арка» для строительства гидрометаллургического завода по производству сульфата никеля запросило у Банка Развития Казахстана финансирование. Статус заявки – на этапе «Бизнес предложения».

На какой стадии разработки месторождения сейчас находится компания, не сообщается. С 2015 года «Горнорудная Компания Сары Арка» пополнила казну государства на 46,6 млн тенге. В этом году ТОО выплатило 9,9 млн тенге налогов. При этом организация в марте 2023 года задолжала другому предприятию 1,5 млн тенге штрафа и 1,6 млн тенге упущенной прибыли. ТОО «Геостройизыскания» выиграло иск.

Таким образом, старший из сыновей Майры Курмангалиевой и бывший пасынок Болата Назарбаева заработал и, скорее всего, продолжает зарабатывать на месторождении никель-кобальтовых руд. Возможно, это не единственный совместный проект вероятных родственников. А также не последний тендер, который выиграет ISL Metals Group для предоставления услуг в Бугетколь.
Подписывайтесь на официальный Telegram-канал CMN.KZ